Le stress oxydatif est une thématique bien connue lorsque l’on parle de vieillissement.
Le stress oxydatif, qui est un anglicisme (oxidative stress), est une agression des cellules par des radicaux libres.
Il n’est pas une maladie mais un mécanisme physiopathologique qui correspond à un excès d’espèces réactives mal
maîtrisé qui favorise un vieillissement accéléré ou une maladie.
En effet, le stress oxydatif peut causer une accélération du vieillissement et réduit en partie l’espérance.
Ceci en fait un sujet d’études très présent dans la littérature scientifique, dans la façon de concevoir de nouveaux régimes alimentaires sains — ou encore dans les arguments de vente de certains soins cosmétiques rajeunissants.
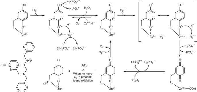
Parmi les récentes découvertes, une équipe de chercheurs allemande de l’Université Friedrich-Alexander d’Erlangen-Nuremberg (FAU) a découvert que le zinc peut activer une molécule organique, et aider à protéger contre le stress oxydatif.
Cette étude est publiée dans la revue Nature Chemistry du 1er octobre 2018.

Les bienfaits du zinc contre le stress oxydatif
Le zinc est un oligo-élément dont nous avons besoin pour rester en bonne santé.
Des chercheurs ont découvert que le zinc peut protéger du superoxyde responsable du stress oxydatif lorsqu’il est associé à un composant contenu dans des aliments tels que le vin, le café, le thé et le chocolat.
Rappelons qu’un radical libre superoxyde est une forme toxique d’oxygène produite durant la respiration aérobie (mode de respiration utilisant l’oxygène comme comburant).
Ce composant est un groupe d’hydroquinone présent dans les polyphénols, autrement dit les substances végétales responsables de l’odeur et du goût.
Le zinc active les groupes hydroquinone, produisant une protection naturelle contre le superoxyde, un sous-produit de la respiration cellulaire humaine qui endommage les propres biomolécules du corps, par exemple les protéines ou les lipides, ainsi que le génome humain.
On pense que les superoxydes jouent un rôle dans le processus de vieillissement et dans un certain nombre de maladies telles que l’inflammation, le cancer ou les maladies neurodégénératives.

Combattre les superoxydes
L’hydroquinone, qui est un composé organique aromatique apparenté au phénol, seule n’est pas capable de décomposer le superoxyde.
Cependant, si le zinc et l’hydroquinone se combinent, il se crée un complexe métallique imitant l’enzyme superoxyde dismutase (SOD).
Ces enzymes protègent l’organisme des processus de dégradation causés par l’oxydation et ont un effet antioxydant.

De cette manière, les superoxydes peuvent être métabolisées et les dommages causés à l’organisme évités, explique l’étude.
Pour la première fois, la fonction de cette enzyme a été copiée sans revenir aux métaux de transition rédox-actifs tels que le manganèse, le fer, le cuivre ou le nickel.
Bien que les métaux puissent également avoir un effet antioxydant, tous les effets positifs peuvent rapidement s’inverser compensés s’ils sont trop abondants, et peuvent même causer une augmentation du stress oxydatif.
Enfin, le zinc est beaucoup moins toxique que les métaux de transition mentionnés ci-dessus, ce qui permet de créer de nouveaux médicaments ou suppléments avec beaucoup moins d’effets secondaires.
Les chercheurs indiquent, qu’il serait également plausible d’ajouter du zinc à des aliments contenant de l’hydroquinone naturellement pour améliorer la santé des consommateurs.
Ils concluent en soulignant que l’ajout de zinc serait très certainement possible avec le vin, le café, le thé ou le chocolat dans un futur proche, mais que toute teneur en alcool détruirait les effets positifs de cette association.
© Blog Nutrition Santé – Jimmy Braun – Novembre 2018
Ce blog nutrition santé n’a pas vocation à remplacer votre relation avec votre médecin traitant. Les renseignements contenus sur le Blog Nutrition Santé sont tous rédigés avec des sources scientifiques et ne peuvent pas répondre à des questions médicales spécifiques, mais sont donnés à des fins purement informatives et complémentaires. Lire la suite.
Sources externes
- « Superoxide dismutase activity enabled by a redox-active ligand rather than metal. », Nature Chemistry, 2018; https://www.nature.com/articles/s41557-018-0137-1, DOI: 10.1038/s41557-018-0137-1
- La superoxyde dismutase, puissant antioxydant naturel, désormais disponible par voie orale, https://link.springer.com/article/10.1007/s10298-005-0087-9
- Photos © Clem Around The Corner ; NordWood Themes ; The Creative Exchange
